• Top
  • 0086-519-82860351
  • QR code
Home    CAS 18719-43-2
18719-43-2

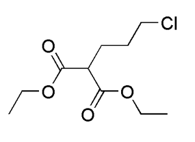
Product Name: Diethyl 2-(3-chloropropyl)malonate

CAS No.: 18719-43-2

Catalog No.: ND190015

Formula: C10H17ClO4

Structure:

18719-43-2

Purity: 95%

 

  • Verification code

CAS 18719-43-2